문제 설명
n개의 노드가 있는 그래프가 있습니다. 각 노드는 1부터 n까지 번호가 적혀있습니다. 1번 노드에서 가장 멀리 떨어진 노드의 갯수를 구하려고 합니다. 가장 멀리 떨어진 노드란 최단경로로 이동했을 때 간선의 개수가 가장 많은 노드들을 의미합니다.
노드의 개수 n, 간선에 대한 정보가 담긴 2차원 배열 vertex가 매개변수로 주어질 때, 1번 노드로부터 가장 멀리 떨어진 노드가 몇 개인지를 return 하도록 solution 함수를 작성해주세요.
제한사항
- 노드의 개수 n은 2 이상 20,000 이하입니다.
- 간선은 양방향이며 총 1개 이상 50,000개 이하의 간선이 있습니다.
- vertex 배열 각 행 [a, b]는 a번 노드와 b번 노드 사이에 간선이 있다는 의미입니다.
입출력 예
| n | vertex | return |
| 6 | [[3, 6], [4, 3], [3, 2], [1, 3], [1, 2], [2, 4], [5, 2]] | 3 |
입출력 예 설명
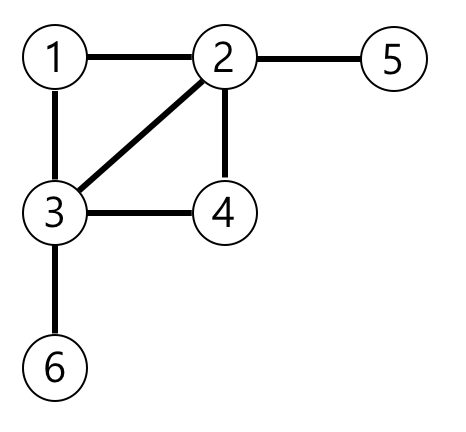
예제의 그래프를 표현하면 아래 그림과 같고, 1번 노드에서 가장 멀리 떨어진 노드는 4,5,6번 노드입니다.

나의 풀이
#include <string>
#include <vector>
#include <algorithm>
#include <queue>
#include <iostream>
using namespace std;
vector<vector<int>> graph;
int length[20001]; //1번과의 거리
int max_n; //최대 거리
void bfs(int start) {
queue<int> q;
q.push(start);
while (!q.empty()) {
int last = q.front();
q.pop();
for (int i = 0; i < graph[last].size(); i++) {
if (length[graph[last][i]] == 0 && graph[last][i] != 0) {
length[graph[last][i]] = length[last] + 1;
q.push(graph[last][i]);
max_n = max(max_n, length[graph[last][i]]);
}
}
}
}
int solution(int n, vector<vector<int>> edge) {
int answer = 0;
for (int i = 0; i < n+1; i++) {
vector<int> tmp;
graph.push_back(tmp);
}
for (int i = 0; i < edge.size(); i++) {
graph[edge[i][0]].push_back(edge[i][1]);
graph[edge[i][1]].push_back(edge[i][0]);
}
bfs(1);
for (int i = 2; i < n+1; i++) {
if (length[i] == max_n) answer++;
}
return answer;
}
원래는 dfs를 사용하여 풀이를 하려고 했는데 잘 안되서 bfs 풀었다.
'전공공부 > 코딩테스트' 카테고리의 다른 글
| 프로그래머스 이분탐색 입국심사 (0) | 2021.09.23 |
|---|---|
| 프로그래머스 그래프 순위 c++ (0) | 2021.09.16 |
| 프로그래머스 dfs/bfs 단어변환 (0) | 2021.09.10 |
| 프로그래머스 깊이/너비우선탐색 네트워크 (0) | 2021.09.09 |
| 프로그래머스 깊이/너비우선탐색 타겟넘버 (0) | 2021.09.09 |